
【论文专题】中介效应分析
在营销、管理领域,发现 $X$ 会影响 $Y$ 后,还会进一步的琢磨是如何影响,回答一个关于 HOW 的问题。
我觉得是沿用了心理学的研究方法,这里就不谈流派了,毕业要紧
所以憋论文的时候除了找到变量 $X$、$Y$,往往还要憋个变量 $M$ 出来,这个变量 $M$ 就用来回答 $X$ 如何影响 $Y$,$M$ 被称为中介变量(Mediator Variable)
为了得到因果关系,之后往往会设计实验,以问卷的形式收集数据,最后用统计学的方法一顿操作验证 $X$ 是否会影响 $M$ 进而影响 $Y$
这篇就是记录如何用 PROCESS1 完成中介效应的分析,以简单的中介效应模型为例。

1 理论部分
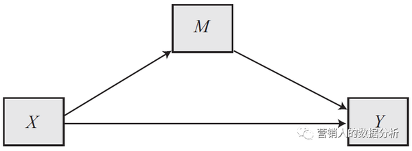
上图的理论模型用数学数学语言可写为
$$ M = i_M+aX+e_M $$
$$ Y = i_Y + c^,X + bM + e_Y $$
正如下图所示

- 直接效应
$c^,$ 表示 $X$ 影响 $Y$ 的直接效应
$$ c^,=[\widehat{Y}|(X=x+1,M=m)] - [\widehat{Y}|(X=x,M=m)] $$
$c^,$ 可解释为:在变量 $M$ 保持不变的情况下,自变量 $X$ 增加一个单位,因变量 $Y$ 均值变化 $c^,$ 。
- 间接效应(indirect effect)
将公式$\ref{M}$ 代入公式$\ref{Y}$,可发现系数 $a \times b$ 便是估计中介效应的,所以中介效应是否存在,就需要关注系数 $ab$ 的情况了
PROCESS也是采用最小二乘法得到系数的
但PROCESS特别的地方在于,他是采用 Bootstrap Confidence Interval 的方法对检验以下假设
$$ H0: ab=0 $$
「MARK」之后再另起灶炉简单扯一点Bootstrapping
用PROCESS做中介效应分析,结果的最后会给出间接效应的 95% bootstrap confidence interval
如果区间内不包含0,则说明中介效应成立
2 实际操作
步骤如下:
-
SPSS加载 process的语法文件
使用过程中可以自主编写语法、也可以菜单式的操作
-
变量和数据字段一一对应
-
基于理论研究模型,选择PROCESS的模型(本例对应的是model 4)
我感觉这也算是PROCESS的一个弊端吧,灵活性不高。
-
其他可选
-
number of bootstrap samples
一般是5000,数据量小的时候可往大了选
-
选项(options)
标准化、中心化、产生画图的数据
调节效应分析中,spotlight analysis 选择16th、84th分位数表示低高,还是选择 均值±标准差 表示低、高
-
多分类变量的处理
如果是二分类(dichotomous)就不管
因为多分类变量(假设4类)的1,2,3,4并没有意义,只是表示不同的类别而已,一般通过indicator coding(也叫dummy coding)的方式将变量转为dummy variable ,用 $4-1=3$ 个字段表示
-
一顿操作之后,便可得到如下结果

正如理论部分所说,是否存在中介效应,
就看结果中 Indirect effect(s) of X on Y 的部分
Bootstrap置信区间不包含0,则说明中介效应存在。
参考资料
-
Hayes A F: Introduction_to_Mediation_Moderation_and_Conditional_Process_Analysis_A_Regression_Based[M].2ed.2018 ↩︎
胡子叔叔的小站